ASIN, BCOS, And RMS Value Explained

F.3cx 57 views
ASIN, BCOS, And RMS Value Explained

ASIN, BCOS, and RMS Value Explained

Hey everyone! Today, we’re diving deep into some technical jargon that you might encounter, especially if you’re working with signals, data analysis, or electrical engineering. We’re talking about ASIN, BCOS, and RMS value . Now, I know that sounds a bit intimidating, but trust me, once we break it down, it’s totally manageable and actually pretty fascinating. So, grab a coffee, get comfy, and let’s unravel these concepts together. We’ll make sure you understand what these terms mean and why they’re important in various applications. Get ready to boost your knowledge, guys!

Understanding ASIN and BCOS

Alright, let’s kick things off with ASIN and BCOS . These might look like fancy acronyms, but they actually represent fundamental mathematical functions. Think of them as the inverse of sine and cosine, respectively. So, ASIN stands for Arc Sine , and BCOS is short for Arc Cosine . You might also see ASIN written as sin⁻¹, and BCOS as cos⁻¹. They’re essentially asking the question: “What angle has this particular sine or cosine value?” For example, if you know that the sine of an angle is 0.5, then ASIN(0.5) will tell you that the angle is 30 degrees (or π/6 radians). Similarly, if you know the cosine of an angle is 0.5, then BCOS(0.5) will tell you the angle is 60 degrees (or π/3 radians). These functions are super useful in trigonometry, geometry, and especially when you’re trying to figure out angles from known ratios, which pops up a lot in physics and engineering problems. They help us go from a ratio back to an angle, which is often a crucial step in solving complex problems. Imagine you’re calculating the trajectory of a projectile, and you have the height it reached relative to the launch distance. Using ASIN or BCOS might be part of the process to determine the launch angle. Pretty neat, right? It’s all about working backwards to find that missing piece of information – the angle.

Practical Applications of ASIN and BCOS

So, where do you actually see ASIN and BCOS in action? Well, these guys pop up in a ton of places, especially when you’re dealing with anything involving angles and positions. In computer graphics and game development, for instance, they’re used extensively for calculating rotation angles, positioning objects in 3D space, and figuring out camera perspectives. If you’ve ever wondered how a game character turns smoothly or how the camera follows them, ASIN and BCOS are likely involved behind the scenes. Another big area is robotics. When a robot arm needs to move to a specific point, the control systems use inverse trigonometric functions like ASIN and BCOS to determine the joint angles required to reach that target. It’s like telling the robot’s arm exactly how much to bend each joint to pick up an object. In navigation systems, particularly for GPS or surveying, these functions help calculate positions and distances based on angular measurements. Think about how your phone can tell you how far away a landmark is based on your direction and a known reference point; ASIN and BCOS play a role in that calculation. Even in signal processing, when analyzing waveforms, you might encounter these functions when trying to extract phase information from sine or cosine waves. They are fundamental tools that help us translate ratios into meaningful angular information, enabling precise control and analysis in a wide array of technological applications. So, while they might seem abstract, their impact is very real and quite extensive across many fields. They are the unsung heroes of many sophisticated systems, making complex geometric and trigonometric relationships solvable.

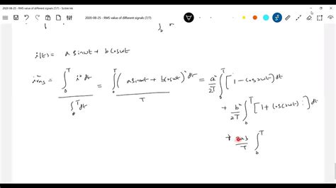
The Significance of RMS Value

Now, let’s switch gears and talk about RMS value . RMS stands for Root Mean Square . This is a really important concept, especially when you’re dealing with alternating current (AC) electricity, but it’s also used in many other fields for statistical analysis. So, what does it actually mean? Imagine you have a fluctuating signal, like the voltage in your home’s power outlet, which is constantly changing. It’s not a steady number. The RMS value gives you a single, equivalent DC (Direct Current) value that would produce the same amount of power dissipation in a resistive load. In simpler terms, it’s a way to measure the effective value of a varying voltage or current. Why is this so crucial? Because when we talk about the power delivered by an AC source, we’re usually referring to its RMS value. For example, when your power company says they supply 120 volts, they’re talking about the RMS voltage. This means that this 120V AC supply is equivalent to a 120V DC supply in terms of its ability to do work (like powering your appliances). It’s a standardized way to compare the heating or power delivery capabilities of different types of signals. Without the RMS value, it would be much harder to predict how much power an AC circuit would consume or deliver, making it difficult to design and operate electrical systems safely and efficiently. It normalizes fluctuating signals into a single, comparable metric.

Calculating and Applying RMS Value

So, how do we get this magical RMS value ? The name itself gives us a clue: Root , Mean , Square . The process involves three steps:

  1. Square : First, you take the original signal (like voltage or current over time) and square it at every point. This gets rid of any negative values and emphasizes larger fluctuations.
  2. Mean : Next, you calculate the average (mean) of these squared values over a specific period. This gives you the mean square value.
  3. Root : Finally, you take the square root of that mean value. This brings the value back to the original units (like volts or amperes) and gives you the RMS value.

For a sinusoidal waveform, which is super common in AC power, the RMS value is simply the peak (maximum) value divided by the square root of 2 (approximately 1.414). So, if the peak voltage of your AC signal is 170V, the RMS voltage would be about 170V / 1.414 ≈ 120V. This calculation is fundamental for understanding power in AC circuits. Engineers use it to calculate power consumption, determine wire sizes, set circuit breaker ratings, and ensure that equipment operates within safe limits. Beyond AC electricity, the RMS value is also used in statistics to measure the standard deviation of a set of values, which is a measure of dispersion or variability. In audio engineering, it’s used to measure the average power of an audio signal, which is crucial for setting amplifier levels and preventing distortion. So, whether you’re dealing with circuits, data, or sound, the RMS value provides a robust way to quantify the overall magnitude or effect of a fluctuating quantity. It’s a workhorse metric that bridges the gap between instantaneous values and the overall impact of a signal.

Bringing It All Together: ASIN, BCOS, and RMS Value in Context

Now that we’ve broken down ASIN, BCOS, and RMS value individually, let’s think about how they might intersect or appear together in real-world scenarios. While ASIN and BCOS deal with angles and relationships within trigonometric functions, and RMS value quantifies the effective magnitude of a signal, they often show up in the same complex systems. For example, in analyzing electrical signals that are sinusoidal (like AC power), you might use ASIN and BCOS to determine the phase angle of the signal if you know certain values. Once you have that angle and understand the waveform, you can then use the RMS value to determine the effective power that this signal can deliver. So, you could be using ASIN to find out when a wave reaches a certain point (related to its angle) and then using RMS to know how much power that wave represents overall. Imagine you’re designing a power system for a facility that has many fluctuating loads. You need to understand the phase relationships between different AC voltages and currents – that’s where ASIN and BCOS (or their related functions) might come into play for calculations involving power factor correction or harmonic analysis. Simultaneously, you need to know the overall power delivery capacity of your system, which is directly related to the RMS voltage and current ratings. Therefore, the RMS value is essential for sizing transformers, generators, and distribution lines. It’s about understanding both the instantaneous behavior and the overall energy contribution of the signal. These concepts, though distinct, are often complementary tools in the engineer’s toolkit, allowing for a comprehensive understanding and control of dynamic systems. They enable us to move from understanding raw data points to comprehending the fundamental characteristics and impactful measures of complex signals and phenomena. Pretty cool when you think about it!

Conclusion: Mastering These Concepts

So there you have it, guys! We’ve demystified ASIN, BCOS, and RMS value . We learned that ASIN (Arc Sine) and BCOS (Arc Cosine) are inverse trigonometric functions used to find angles, essential in geometry, physics, and computer graphics. We also explored the RMS value (Root Mean Square), which gives us the effective magnitude of a fluctuating signal, crucial for AC power calculations, statistics, and audio engineering. Understanding these terms is not just about passing a test; it’s about gaining a solid foundation for comprehending many technical fields. Whether you’re a student, an aspiring engineer, or just someone curious about how things work, these concepts are fundamental building blocks. Don’t be intimidated by the math; focus on the practical applications and the logic behind them. Keep exploring, keep asking questions, and keep learning. You’ve got this!