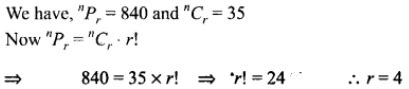
Find R: NPR=840, NCR=35

F.3cx 94 views
Find R: NPR=840, NCR=35

Find R: NPR=840, NCR=35

Hey guys, let’s dive into a cool math problem today! We’re going to figure out the value of ‘r’ when we’re given the number of permutations (nPr) and the number of combinations (nCr). This is a classic problem that pops up in probability and combinatorics, and understanding it will really boost your math game. We’re given that nPr = 840 and nCr = 35. Our mission, should we choose to accept it, is to find that elusive ‘r’. It might seem a bit daunting at first, but trust me, with a few key formulas and a bit of logical thinking, we’ll crack this nut.

Understanding Permutations and Combinations

Before we jump into solving, let’s quickly refresh what permutations and combinations actually mean. Permutations (nPr) are all about arrangements where the order matters . Think of arranging books on a shelf; putting ‘A’ then ‘B’ is different from putting ‘B’ then ‘A’. The formula for permutations is: nPr = n! / (n-r)!.

On the other hand, Combinations (nCr) are about selections where the order doesn’t matter . Imagine picking a team for a game; it doesn’t matter if you pick John then Jane, or Jane then John, they’re still on the same team. The formula for combinations is: nCr = n! / (r! * (n-r)!).

Notice how similar these formulas are? The only difference is that extra ‘r!’ in the denominator for combinations. This ‘r!’ accounts for all the ways the chosen ‘r’ items could be arranged, effectively removing the order dependency. This relationship is super important, and it’s going to be our secret weapon in solving this problem.

The Crucial Relationship Between nPr and nCr

This is where the magic happens, guys! There’s a neat little relationship that connects permutations and combinations. If you look at the formulas:

nPr = n! / (n-r)! nCr = n! / (r! * (n-r)!)

You can see that nPr is basically nCr multiplied by r!. Let’s rearrange the nCr formula to see this:

nCr * r! = [n! / (r! * (n-r)!)] * r! nCr * r! = n! / (n-r)! nCr * r! = nPr

So, we get the fundamental equation: nPr = nCr * r! .

This equation is golden! It tells us that the number of permutations is equal to the number of combinations multiplied by the number of ways to arrange the selected ‘r’ items. This is intuitive, right? If you first choose ‘r’ items (nCr ways), and then you arrange those ‘r’ items (r! ways), you get the total number of ordered arrangements (nPr).

Plugging in Our Given Values

Now, let’s use the values we were given: nPr = 840 and nCr = 35. We’ll substitute these into our handy relationship equation:

840 = 35 * r!

Our goal now is to isolate r!. To do this, we just need to divide both sides of the equation by 35:

r! = 840 / 35

Let’s do the division. 840 divided by 35.

840 / 35 = (700 + 140) / 35 = 700 35 + 140 35 = 20 + 4 = 24.

So, we have r! = 24 .

Finding the Value of R

We’ve reached the point where we need to figure out what number, when factorialized, gives us 24. Remember what a factorial is? n! = n * (n-1) * (n-2) * … * 1.

Let’s test a few small numbers:

  • 1! = 1
  • 2! = 2 * 1 = 2
  • 3! = 3 * 2 * 1 = 6
  • 4! = 4 * 3 * 2 * 1 = 24

Bingo! We found it. When r = 4, r! equals 24.

Therefore, the value of r is 4 .

It’s always a good idea to check our answer, especially in math. We found r=4. Now we need to find ‘n’. We can use either the nPr or nCr formula. Let’s use nCr = 35, with r=4:

nCr = n! / (r! * (n-r)!) 35 = n! / (4! * (n-4)!) 35 = n! / (24 * (n-4)!)

We know that n! can be written as n * (n-1) * (n-2) * (n-3) * (n-4)!

So, substitute this back:

35 = [n * (n-1) * (n-2) * (n-3) * (n-4)!] / (24 * (n-4)!)

The (n-4)! terms cancel out:

35 = [n * (n-1) * (n-2) * (n-3)] / 24

Now, multiply both sides by 24:

35 * 24 = n * (n-1) * (n-2) * (n-3)

Let’s calculate 35 * 24.

35 * 24 = 35 * (20 + 4) = (35 * 20) + (35 * 4) = 700 + 140 = 840.

So, we have 840 = n * (n-1) * (n-2) * (n-3) .

This means we are looking for four consecutive numbers that multiply to 840. Let’s try some values for n, starting from values slightly larger than r (since n must be at least r).

If n=5: 5 * 4 * 3 * 2 = 120 (too small) If n=6: 6 * 5 * 4 * 3 = 360 (too small) If n=7: 7 * 6 * 5 * 4 = 840 (jackpot!)

So, n = 7.

Now let’s check this with nPr = 840 and r = 4:

nPr = n! / (n-r)! 840 = 7! / (7-4)! 840 = 7! / 3! 840 = (7 * 6 * 5 * 4 * 3 * 2 * 1) / (3 * 2 * 1) 840 = 5040 / 6 840 = 840

It matches! So, we have n=7 and r=4. Our calculated value for r=4 is correct. Phew!

Key Takeaways for Your Math Toolkit

So, what did we learn today, guys? We learned that the relationship nPr = nCr * r! is incredibly powerful. It allows us to bridge the gap between permutations and combinations, and it’s often the key to solving problems where you’re given one and need to find components of the other. We also reinforced our understanding of factorials and how to solve for ‘r’ when given r!.

Remember, in math, practice makes perfect. The more you work through these types of problems, the more comfortable you’ll become with the formulas and the logic. Don’t be afraid to break down the problem, identify what you know, and figure out what you need to find. And always, always double-check your work if you have the time! It’s a great habit to build.

Keep practicing, keep exploring, and keep asking questions. You’ve got this!